最近有家长告诉我,孩子学习AP微积分觉得压力山大。
我了解情况以后发现,孩子们觉得微积分难学的主要原因其实是没有理解微积分是用来干什么的,当然还有一些孩子是因为基础没过关造成了理解上的困难。
于是就有了下面这篇文章,分享给大家,希望帮助孩子们更好地理解微积分,化解学习压力。
要理解微积分,有必要谈谈微积分产生的背景,我们先从圆周率π谈起吧。
一、π的历史——理解微积分的经典
我们都知道圆的周长和直径之比就是圆周率π,π介于3.1415926和3.1415927之间。

那么这个π是如何计算得来的呢?
下面简单回顾一下π产生的历史:
约公元前1900年至1600年的一块古巴比伦石匾上,采用内接正方形的方式,记载了圆周率 = 25/8 = 3.125。

古希腊大数学家阿基米德(公元前287–212 年)开创了人类历史上通过理论计算圆周率近似值的先河。他先用内接正六边形求出圆周率的下界为3,再用外接正六边形并借助勾股定理求出圆周率的上界小于4。

接着,他对内接正六边形和外接正六边形的边数分别加倍,将它们分别变成内接正12边形和外接正12边形,再借助勾股定理改进圆周率的下界和上界。

他逐步对内接正多边形和外接正多边形的边数加倍,直到内接正96边形和外接正96边形为止。最后,他得出3.141851 为圆周率的近似值。

这种方法随后被2位中国古代数学家发扬光大。
公元263年,中国数学家刘徽用“割圆术”,求出3072边形的周长,得到令自己满意的圆周率≈3.1416。

南北朝时期的数学家祖冲之得到3.1415926<π<3.1415927的精确值,在之后的800年里祖冲之计算出的π值都是最准确的!

祖冲之是通过求出圆内接正12288边形和正24576边形的周长得到的

法国数学家韦达(1540-1603年)开创了一个用无穷级数去计算π值的崭新方向。
1706年,英国数学家梅钦率先将π值突破百位。
1948年英国的弗格森(D. F. Ferguson)和美国的伦奇共同发表了π的808位小数值,成为人工计算圆周率值的最高纪录。
1949年,美国人赖脱威逊利用ENIAC计算机花了70个小时把π算到2034位,一下子就突破了千位大关。
1955年,一台快速计算机在33个小时内把π算到10017位,首次突破万位。
1973年,Jean Guilloud和Martin Bouyer用电脑CDC 7600发现了π的第一百万个小数位。
2011年10月16日,日本长野县饭田市公司职员近藤茂利用家中电脑将圆周率计算到小数点后10万亿位;
......
在π的计算方法中,大家可以看到微积分产生的第一个概念:
用折线逼近曲线,通过计算折线的长度获得曲线的近似长度。

曲线的长度不好计算,而折线的长度好计算,如果折线与曲线足够接近的话,可以认为折线的长度就是曲线的长度!
说到足够接近,多少才算足够呢?
从古巴比伦时期的正4边形
到阿基米德的正5边形
正6边形
正12边形
正96边形
再到刘徽的3072边形
再到祖冲之的正12288边形
正24576边形
再到无穷级数
......
折线段越多,意味着越接近最终的圆,意味着圆周率的精度越高。
可是这玩意什么时候是个头呢?
这个头就是微积分的第二个概念——
二、极限——微积分的启蒙
我们说这个头就是极限,这个最后的极限就是圆周率π。
我们无法用一个准确的小数把它表示出来,但是我们知道:
当我们的正多边形的边越来越多的时候,这个正多边形的周长会无限接近真实的圆周率π。
到底如何说明无限接近呢?
在数学上,我们只能用数字来进行刻画:
无论你找到一个多么小的数,我们都可以找到一个边数足够多的正多边形,让这个正多边形的周长和π的偏差小于你给的这个数。
这就是对极限概念最基本的理解。
在数学上极限往往与函数图像的连续性关联起来进行讲解,我们再来看一个例子。
构想一个画面:





如图所示,4.00时刻的画面由于缓冲跳过了。我们无法得知这个时刻球的位置,但是我们可以作出一个估计:
4.00时刻球在3:59和4:01球的位置之间的某个位置上。
由于现实世界中球的轨迹是连续的,所以这是一个很不错的估计。
但是!如果在3:59.001时球突然被外星人以极快的速度吸走,在3:59.998时按照原来的速度和方向放回来,那么我们的估计就不正确了(尽管这不太可能发生,但是必须考虑)。
那么,如果我们把镜头放慢,慢到看得清外星人的存在,我们把外星人出现的“3:59.001和3:59.998"的位置去掉,那么我们可以重新做一个更准确的估计:估计球4:00的位置为“3:59.999和4:00.001的位置之间”。
可以感性地得知,在本例中,当这个缩放级别越小时,我们便越有信心估计球的位置(如果在某个级别中发现球的位置发生了意外的变化,那么就很有可能要推翻前面的估计,需要进一步缩小级别来确定球的位置)。
理解了上面的例子后,我们来看一看官方对极限的定义:
lim(x->c) f(x) = L
means for all real ε > 0 there exists a real δ > 0 such that for all x with 0 < |x − c| < δ, we have |f(x) − L| < ε (对于所有ε>0,存在一个δ > 0,使得对于所有x满足0 < |x − c| < δ,都有|f(x) − L| < ε)
也就是说,如果这个估计是正确的(或者说无限有信心的),那么对于一个任意小误差范围ε,总可以找出一个缩放级别δ,令所有与c距离小于δ的x(0 < |x − c| < δ),都满足f(x)的值和L之间的距离在误差范围ε内。
极限存在的必要条件是“对于任意小的误差范围总可以找到相应的缩放级别”,这个条件保证了不会漏掉“中途被外星人吸走又放回去”的情况。
有了极限的概念,我们就可以进入下一章节啦!
三、微分和导数的本质是变化率
微积分的发明人之一是牛顿,牛顿主要还是研究物理为主,微积分不过是他发明出来研究物理的一个数学工具(大师就是厉害)。
因为牛顿研究物理的缘故,所以牛顿用变化率的方式引入了导数(牛顿称之为“流数”)。
在物理里面变化率还是很自然的概念,比如为了求平均速度:

如果我们把时间跨度取得更小一点,就可以得到瞬时速度:

这个瞬时速度实际上就是变化率

这个变化率其实也是该点切线的斜率

在前面我们提到了微积分的基本思想是“以直代曲”:

“以直代曲”的意思就是,切线可以在切点附近很好的近似曲线:

下面这幅图说明,如果在曲线上多选几个点,都作出附近的切线,我们可以透过切线看到曲线的轮廓:

导数就是为了完成“以直代曲”这个任务的数学工具

有了导数,于是微分里面的dy、dx等概念就应运而生了

用极限概念表示x点的切线就是:

用图来表示这个求极限的过程就是

好,微积分的微分概念我们说完了,下面再来看看积分
四、积分的本质是面积
积分是微分的逆运算。
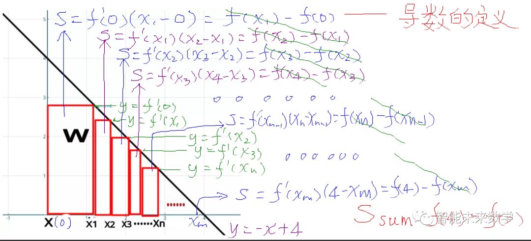
先来看图,下面是一个一次函数 y=-x+4:

我们的目标是求蓝色区域的面积。
这个学过三角形面积的同学都会,底X高/2=4X4/2=8。
我们也可以用一种更加通用的方法来求蓝色区域的面积,可以做如下切分:

我们说这个蓝色区域的面积其实就是所有这些红色长方形的面积之和。
虽然目前看起来所有红色长方形的面积之和与真实的三角形还有些偏差,但是如果我们的切分足够细的话,套用前面的极限概念,所有红色长方形的面积之和的极限就是真实的三角形面积,而且可以用这个方法去逼近任意曲线,像这样:

好了,那么如何求出这些红色长方形的面积之和呢?
用微积分的观点来看,就是要求:

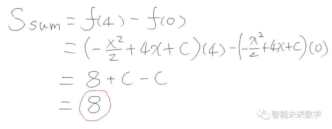
学过微分(导数)以后,我们知道,如果一个函数的导数是-x+4,那么这个函数就是-x^2/2+4x+C,即:

请看下图的计算方法

根据上图,如果我们把所有红色长方形的面积加起来,根据导数的定义,中间很多相同项都可以抵消掉,最后我们得到:
所有红色长方形的面积之和=f(4)-f(0)=8.

上述计算方法可以应用到任意曲线下面面积的计算,这就是微积分思想最强大的地方!
理论上说起来,如果你能够看到这里,微积分概念的基本架构在你的脑子里面已经初步形成了,接下来要做的事情就是按照如下架构图往里面塞不同的内容了。
五、微积分学习的架构图
下面是部分微积分学习内容的思维导图,请大家可取所需。
1.极限与连续

2.导数的概念及求导法则

3.函数的微分及函数的线性逼近

4.定积分

5.不定积分的概念和性质

6.微积分预备知识
要学好微积分,需要有一定的数学基础知识,包括集合、映射、函数概念和特性、幂函数、指数函数、对数函数、自然对数函数、三角函数、反三角函数、双曲函数等。
限于篇幅,此部分内容太多无法在此文中一一列出,仅画出三角函数的恒等变换公式,就有下面这张大图:

其他更多微积分高级章节本文不再赘述,需要的朋友可以单独和我们联系。
六、微积分为什么如此重要?
微积分最重要的思想就是"微元"与"无限逼近",好像一个事物始终在变化你不好研究,但通过微元分割成一小块一小块,对每一小块都可以当成常量处理,所有小块最终加起来就可以得到全部。
在微积分里,‘无限细分’就是微分,‘无限求和’就是积分。无限就是极限,极限的思想是微积分的基础,它是用一种运动的思想看待问题。
这一数学思想正在影响着科学研究的方方面面,与实际应用相结合并逐步发展,它在人工智能、天文学、力学、化学、生物学、工程学、经济学等自然科学、社会科学、应用科学等多个领域中,都有着越来越广泛的应用。
计算机技术的日新月异正在加速这些应用的高速发展。
在人工智能时代,微积分作为人工智能技术三大数学支柱之一,在机器学习模型训练过程中,其作用主要表现在两个方面:
1.在神经网络的期望值和实际值差值函数中找到梯度计算的快速下降方向,从而使得机器学习的训练模型能够快速收敛,缩短模型的训练时间;
2.反向传播时调节神经网络中各参数的权重;
因此希望正在学习微积分的同学们不要吝惜今天付出的时间,多思考,多琢磨,你们将来在职场上获得的回报会感谢今天在微积分学习过程中所做的努力!
但愿本文能够对正在或将要学习微积分的同学有所帮助,我们正在整理AP微积分(AB/BC)的历年真题,会在Rootofmath .com 基础数学题库中分享给大家,需要的同学请及时关注。
往期相关数据分析原创文章链接:
AMC美国数学竞赛10年级历年真题数据分析报告兼谈数学与职业的结合
滑铁卢高斯数学竞赛(7&8年级)历年真题数据分析报告兼谈对加拿大数学教育的思考
黑格尔曾说过,逻辑是一切思维的基础.
数学是思维的体操,很自然就成了逻辑思维训练最好的手段。
正因为此,越来越多的家长认识到了逻辑思维训练在孩子学习和成长过程中的重要性,希望我推荐几本适合低年级孩子的逻辑思维训练书籍。
英文出版物方面,我在Amazon.com上面进行了对比,目前认可度比较高的是《Building Thinking Skills》系列:

中文出版物方面,我在豆瓣上面进行了对比,排在前面的是华文出版社于海娣主编的《逻辑思维训练1200题》:

特意购买了一本进行阅读,书中介绍了排除法、递推法、倒推法、作图法、假设法、计算法、分析法、类比法、推理法、判断法、综合法等11种解题方法,精选了1200道号称“世界上最顶级的逻辑思维训练题”。
分析了一下本书标注最难的一些逻辑思维题,将其与数学竞赛题进行了对比,发现大部分题目也就是Kangaroo袋鼠数学竞赛(下面简称袋鼠)3到4年级的水平。
说到袋鼠,有必要简单介绍一下:
一、Kangaroo袋鼠数学竞赛简介
袋鼠起源于欧洲,重点测试考生的逻辑思维,创造性,空间想象等多方面的数学综合能力。
试题按难度分ABC三大类别,全为多项选择题。1-2年级18道试题,考试时间为45分钟,3-4年级24道试题,考试时间为60分钟,5-12年级30道试题,考试时间为75分钟。A类题每题3分,B类题每题4分,C类题每题5分,做错的题目倒扣一分。为避免零分,记分分别从18,24和30开始。
袋鼠由于试题新颖有趣,能有效地测试考生的逻辑推理能力,又有益于培养学习兴趣,越来越受到教育专家的推崇。
每年全世界有数百万中小学数学爱好者参加这一数学竞赛。
自2006年开始,加拿大已经连续举办了十多年,每年有数十万一至十二年级加拿大学生参加这一赛事。
袋鼠堪称“逻辑思维题的盛宴”,之所以这么说,是因为大多数题目并不需要高深的数学知识,却对选手的逻辑思维能力考察更多。
为了帮助大家了解并抓到袋鼠,我们整理了加拿大、美国、新加坡、奥地利、巴基斯坦等几个国家近年来3-4年级的考试真题,经过查找资料、入库、整理校对、标注、数据分析等过程,将如下结果分享给大家:
二、数据分析报告

下面以基础运算、数图形、数谜、逻辑推理为例,让大家看看袋鼠是如何与逻辑思维完美结合的吧!
第一名 Basic Calculation-基础运算
袋鼠的许多基础运算题超越了纯粹意义上的加、减、乘、除四则运算,与逻辑思维进行了一定程度的融合,需要选手们有一定的观察和分析能力,找到问题的突破口,然后顺根摸瓜,一步一步地找到答案。
这是新加坡袋鼠2017年第16题:

原文翻译如下:圆圈中的?是什么数?
此题初看,如果不细心观察,会有一种"巧妇难为无米之炊"的感觉,里面的圆圈都是空的,从哪里开始算啊?
...
...
事实上呀,看看下图就豁然开朗啦

第二名 Diagram Counting-数图形
我们发现北美低年级(7年级以下)的数学竞赛对数图形(Diagram Counting)的题目有一个偏爱,估计袋鼠是源头。
此类题目都不难,基本上所有人都可以数出来大部分结果,难就难在给出准确的答案。
要解决此类问题,孩子们最需要培养的是逻辑分类能力,必须先仔细观察,做出科学的分类,然后把所有图形都落到这些分类里面,达到如下要求:
1、没有重复;
2、没有遗漏;
这八个字说出来简单,做出来就不容易啦。不做逻辑分类的孩子上来就数,数到后面会发现忘了哪里数过了,哪里没数过,要么重复,要么遗漏,最后给出的答案十有八九都不准确。
先看新加坡袋鼠2015年第22题:

题目原文翻译如下:上图中格点水平方向和垂直方向的距离都是一样的,Ann连接其中的任意四个点得到一个正方形。请问可以得到多少个面积不一样的正方形?
第一分类(大多数人都可以看出来):

红、蓝、绿三个正方形的面积分别是1、4、9;
第二分类(能够找到的孩子就不多了):

紫色正方形的面积是2;
第三分类(能够找到的孩子就少之又少了):

粉色正方形的面积是5;
综合三个分类,可以找到面积为1、2、4、5、9的正方形,因此答案选D。
再看看加拿大袋鼠2017年第24题:

题目原文翻译如下:Josie有多少种方法可以从如下的这个长方形里面裁剪出来正好有一个黑色小正方形的T形图?
由于满足要求的T形图都叠加在一起了,不做分类的同学很容易发生遗漏或重复,有逻辑分类思想的孩子可以通过分类寻找的方法快速准确地给出答案。
第一分类:T形图中间C为黑色,可以找到如下图的红、蓝、绿、紫4个:

第二分类:T形图A为黑色,可以找到如下图的红、绿2个:

第三分类:T形图B为黑色(根据对称性,D为黑色与B为黑色是一回事,因此算一个分类),可以找到如下图的紫、绿2个:

三个分类加起来一共是4+2+2=8,答案为D。
第五名 Number Puzzle-数谜
做过数独游戏的朋友都知道,这类题目与逻辑推理密切相关,只要找到一个突破口或者假设成立,就可以顺根摸瓜,把所有的数一步一步地找出来。
数谜题在北美数学竞赛中屡见不鲜,在滑铁卢、AMC等系列比赛中出现的频率都非常高,成为检验孩子们逻辑推理能力的一个最有效手段之一。
数谜题本身也有无数方向的变种,例如加拿大袋鼠2017年第22题:

题目原文翻译如下:Zosia在下图表格中藏了一些笑脸,在一些格子中她写下了与本格相邻的所有格子包含的笑脸个数,两个格子相邻是指它们有一条公共边或者一个公共角。请问这个表格中藏了多少个笑脸?
玩过早期Windows自带扫雷(Mine Sweeper)游戏的朋友一定会惊呼:这不正是扫雷游戏吗?

没错,此题就是来源于扫雷游戏!
下面我们用逻辑推理的方法看看如何把所有的雷(这里是笑脸)一步一步地找出来吧。
为便于描述,我们把所有的格子先编个号吧:

第一步,找到本题的突破口B,B的邻格只有3个,而它的邻格中有三个笑脸,显然A、F、G都是笑脸,我们用绿色圆圈标出:

第二步,看K,因为它的所有邻格中只有2个笑脸,而我们已经在其邻格中找出2个笑脸,所以J、N、O、P、L、H中不会再有笑脸,我们有粉色线标出:

第三步,看C,它的所有邻格中有3个笑脸,已经找出2个,剩下只有D邻格可用了,所以D必须为笑脸:

第四步,看E,它所有邻格中的2个笑脸都已经标出,所以I不是笑脸:

第五步,看N,它所有邻格中有1个笑脸,只有M尚未标出,所以M是笑脸:

DONE!
扫雷完毕!
现在轻松数出共有5个笑脸,答案选B。
第八名 Logical Reasoning-逻辑推理
其实在前面的所有例题中我们几乎都已经看到了逻辑推理在解题中的应用,把逻辑推理单独拿出来作为一个知识点,主要包括一类袋鼠题,需要通过文字理解逐步把逻辑关系画出,进而得出答案。
看看奥地利袋鼠2010年第23题:

原文翻译如下:A,S,R,M四个人到Z城市碰头参加音乐会,他们来自P,D,R,B四个城市之一,我们知道如下信息:
1.A和从B来的朋友首先到达Z,他们两从来没有去过P和R;
2.R不是从B来的,但他和从P来的朋友一起到的;
3.M和从P来的朋友很喜欢音乐会;
请问M来自哪个城市?
这是典型的逻辑推理文字题,需要先找到突破口信息,然后从突破口开始,用一张图把他们的逻辑关系画出来,很快就可以找到答案。
第一步,A没有去过P、R,也不是从B来(因为朋友从B来),所以A只能从D来:

第二步,R不是从B来,也不是从P来(因为朋友从P来),所以R只能从R来:

第三步,M不是从P来(因为朋友从P来),最后只剩下B一个城市选项了,所以M只能从B来,S从P来:

答案为D。
三、总 结
通过上述几个例子,大家可以看到,袋鼠数学竞赛作为“逻辑思维盛宴”名副其实,这也许是袋鼠能够风靡全世界60多个国家、被无数教育学家推崇的主要原因。
越来越多的家长已经看到了逻辑思维训练在孩子学习和成长过程中发挥着越来越重要的作用。
那么逻辑思维训练到底能够给孩子带来什么呢?
通过阅读和分析网络上的各种意见,我们总结出逻辑思维训练可以帮助孩子改善和强化以下内容:
一、判断力强,有主见。有的孩子生活在家长的影子下,凡事都希望家长决定,自己没有太多主意。逻辑思维训练可以让孩子学会自己拿主意,做选择,成为一个有主见的人;
二、处事灵活。在学习生活中灵活地运用知识是很重要的能力,逻辑思维能力强的人会举一反三,不会死脑筋;
三、对事物认识更加客观。孩子成人后,如果在工作中思考问题片面容易走极端,逻辑思维训练会让孩子从多角度考虑问题,而不是主观地思考问题,能看到事物的多面性;
四、性格活泼开朗。受过逻辑思维训练的孩子,不会在陌生人面前不敢说话躲到家长身后,会是大方开朗的;
五、做事严谨,不丢三落四。现在的孩子在学习的时候很容易犯丢三落四的毛病,这与逻辑思维训练不够有较大关系,逻辑思维训练可以让孩子形成严谨的处事风格;
六、当然还有最重要的一点:逻辑思维训练会让孩子喜欢数学,学好数学。
形成本文数据分析报告的所有真题试卷都已经在Rootofmath .com上免费开放,欢迎孩子们选用和在线练习,提高逻辑思维能力和学习数学的兴趣。
真题试卷及题库还在持续整理扩大中,欢迎大家关注并及时更新。
往期相关数据分析原创文章链接:
AMC美国数学竞赛10年级历年真题数据分析报告兼谈数学与职业的结合
滑铁卢高斯数学竞赛(7&8年级)历年真题数据分析报告兼谈对加拿大数学教育的思考