对于理工科的申请者来说,数学竞赛奖项无疑是申请美国高校的重要加分项。理工科申请和文科申请的区别主要在于,优秀指标相对客观可量化。这增加了公平性,也提出了一定的挑战。通过这几年的观察,我们也发现,哪怕对于文科申请者,一定的数学竞赛成绩和水平也有助于提高他们的综合竞争力。
为了帮助大家了解数学竞赛对于美国高校本科申请的含金量,我们整理了如下优质竞赛项目供大家参考。
* 时间数字表示月份,难度和含金量均以5分制来评估,分值越高难度和含金量越高。

| 类别 | 时间 | 难度 | 含金量 | 说明 |
| AMC 8 | 11 | 3 | 3.5 | 适合8年级以下 |
| AMC 10 | 2 | 3.5 | 4 | 10年级以下,前2.5%晋级AIME |
| AMC 12 | 2 | 3.5 | 4 | 12年级以下,前5%晋级 AIME |
| AIME | 3 | 4 | 4.5 | AMC 10和AMC 12 优胜者 |
| USA(J)MO | 5 | 5 | 5 | AIME优胜者,需要美国籍 |
| HMMT | 11 or 2 | 5 | 5 | 哈佛MIT数学锦标赛,代数、几何、组合数学、微积分单项和团体赛 |
| HiMCM | 10 | 5 | 5 | 美国高中数模竞赛,每年以前多只队伍,特等奖不足1% |
| 东润丘成桐经济金融建模 | 9 to 12 | 4.5 | 4.5 | 2018年新增项目,研究报告的形式参赛。 |
| AoCMM | 秋季 | 4 | 4 | 全球计算与数学建模竞赛,2015年首届,适合无经验的新手 |
| IMMC/IM2C | 3 | 5 | 5 | 全球高中生数模挑战赛 |
| MCM/ICM | 1 | 5 | 5 | 全球大学生数模竞赛,开放高中生报名参赛 |
| Euclid | 4 | 4 | 4.5 | 滑铁卢大学欧几里得数学竞赛,12年级学生 |
| 东润丘成桐数学奖 | 9 to 12 | 4.5 | 4.5 | 研究报告形式参加 |
| UKMT/BMO | 11 to 4 | 4 | 4 | 英国高中数学竞赛,分两轮,BMO1优胜的100名参加者被邀请参加BMO2 |
| ARML | 4 | 4 | 4 | 美国区域数学联赛,6人团队赛,相比AMC难 |
| 澳洲AMC | 9 | 4 | 4 | 澳大利亚数学竞赛 |
| PUMaC | 9 | 5 | 5 | 普林斯顿数学竞赛,适合6-8年级学生参加,8人团队赛 |
| USAD | 2 to 4 | 5 | 5 | 美国学术十项全能,综合性主题学术竞赛 |
| Duke Math Meet | 4 to 11 | 4.5 | 4.5 | 杜克大学主办,中国区层层选拔 |
| Math League | 11 | 4.5 | 4.5 | 美国数学大联盟杯 |
| COMC | 11 | 4 | 4.5 | 加拿大数学公开赛 |
往期原创文章链接:
AMC美国数学竞赛10年级历年真题数据分析报告兼谈数学与职业的结合
滑铁卢高斯数学竞赛(7&8年级)历年真题数据分析报告兼谈对加拿大数学教育的思考
这几天,菲尔兹奖和阿贝尔奖双料得主Michael Atiyah爵士宣称自己已经证明20世纪数学制高点之一的黎曼猜想,消息闹得沸沸扬扬,引发人们对于现今互联网安全加密技术的担忧,因为非对称加密包括RSA密钥加密等技术,都是基于大数的分解,一旦素数公式被解开,分解大数就是瞬间的事。
而基于RSA的区块链项目将湮灭。
那么黎曼猜想到底是什么呢?
非理科专业的爸妈们可以通过这张图来理解黎曼猜想:
这是严肃的分割线——
祝各位非理科专业的爸妈们周末快乐!
(不要往下看了)
什么是黎曼猜想
在1859年,黎曼对外发表了一篇关于素数分布的论文。
在这篇论文中,他把欧拉恒等式的右边记作,并将其看做复变数。他认为,素数的性质可以通过复变函数
来探讨,如素数的分布研究关键是研究复变函数
的零点性质。而现在依旧没有解决的“黎曼猜想”,就是对复变函数
零点性质的一个猜想——
所有的复零点都在直线Re s=1/2上。黎曼猜想正式被提出。
黎曼猜想是当今数学界最重要、最期待解决的数学难题。
确实如此,通过对目前数学论文中的研究,现有很多数学命题都是以黎曼猜想及推广形式的成立作为前提。而这也就意味着,如果黎曼猜想及其推广形式被证实,那这些数学命题都将荣升为数学定理,一荣俱荣;与之相反的则是,一旦黎曼猜想被证伪,那将会有1000多个数学命题不可避免成为黎曼猜想的“陪葬品”。
你还在阅读?
太棒了!
那就继续看完下面这个有点烧脑的视频吧,总长约22分钟。
如果您的孩子能耐心看完,恭喜您,你们家将要出小数学家了!
往期原创文章链接:
AMC美国数学竞赛10年级历年真题数据分析报告兼谈数学与职业的结合
滑铁卢高斯数学竞赛(7&8年级)历年真题数据分析报告兼谈对加拿大数学教育的思考
一个学生家长向我提出这样一个问题:
孩子在学校上完数学课,老师讲过的知识、解题方法和布置的练习题都会,可是一旦进入考场,总有那么几道难题做不出来,影响了总体成绩,好像没有办法在数学考分上获得突破
而我在指导儿子参加数学竞赛的过程中发现:数学基础也是取得竞赛高分的关键因素,例如上次从Elmacon考场走出来,他告诉我题目很简单,除了一道题没把握以外其他都没问题,然而成绩出来却蛮不是那么一回事,对了答案以后才发现一些错题是因为
换句话说是数学基础不牢。
尽管我给儿子打基础用的是国内北师大和人教版的数学教材,考虑到中西方数学教育理念的差异,我们重视理论和运算,北美强调逻辑、应用和个性发挥,如果一直用国内的数学教材,感觉总差那么一点点味道。举个例子,北美在统计数据里面常用的Mean,Median,Range,Mode这些概念我们的数学教材里面就没有啊!
因此如果要参加北美数学竞赛的话,还是要
于是从那时起,我就觉得除了竞赛数学题库以外,我也得在基础数学方面做点什么了
今天,与北美竞赛数学配套的基础数学题库终于与大家见面了!
我们还是先来看看数据报告吧:
这是1-6年级的:
这是7-12年级的:
专题年级分类是参照IXL加拿大各年级数学教学大纲的内容整理的。
各数学专题的年级分布数据呈现一个比较有意思的现象,就是两头轻,中间重,尤其是6-7年级的学习任务会比较重。造成这种现象的原因是现行的加拿大数学教学大纲对于同一个专题会分好几个年级学完,例如概率的学习会贯穿到1-12所有年级,而一个专题还不太容易在数据存储上分散到各个年级中,因此就把它放在了一起,实际的学习过程中大家可以选择专题对应该年级的一个部分完成练习。
下面分年级说明一下2-12年级的具体学习内容(目前1年级的专题还比较少,先略过;11年级和12年级仅仅列出部分内容,其他内容待整理,未完成):
2年级:加法、减法、几何图形的认识、简单几何图形的周长、基于乘法口诀表做乘法、自然数的四舍五入、视图的认识等;
3年级:乘法、除法、倍数、文氏图、数的读写、数的近似、三角形、简单的几何变换(旋转、反射等)、数据图的认识(饼图等)、小数加减法、长方形面积等;
4年级:数的近似值、几何平行线及垂直线的认识、简单数论、测量单位及相互转换、表格的认识、数据图的认识(直方图等)、整数和小数的互换、数的排序、简单几何图形面积(如平行四边形)等;
5年级:运算符合优先级、平移变换、几何图形表面积、相似图形、简单数列、概率基础、数论基础、分数基础及分数加法、行程问题、数据集合基础、几何变换之平移、平面直角坐标系基础等;
6年级:方程及常用解法、比率、概率树图等常用方法、百分数、有理数及无理数、数的次方、负数运算、常用图表、分数减法及乘法、分数小数百分数互换及排序、平均数、几何图形面积综合计算、几何图形角度综合等;
7年级:数的开方、指数、正比例和反比例、高级图表、分数除法及混合运算、平面几何构造、高级方程、圆的特性、平均数及数据集合、平面直角坐标系距离等;
8年级:科学计数法、勾股定理、三角形全等之判定定理、高级指数、数据统计基础、代数基础、弧度计算、平面图形缩放、线性图表、圆的高级特性及相关定理等;
9年级:代数基础及相关理论、分数代数、多项式加减乘除综合运算、直线方程及距离、三角函数基础、高级概率方法、不等式基础等;
10年级:高级代数相关理论、三角函数、三角函数与面积的关系、解不等式、高级方程组解法、一元二次方程及解法、因式分解、高级图表等;
11年级(待整理未完成):不等式高级解法、高级概率相关理论、高级三角函数、三角函数综合运算、函数相关高级理论等;
12年级(待整理未完成):反函数、复合函数、向量、微积分基础、线性代数基础等;
那些看见孩子没有作业比孩子没吃饭还心疼的爸爸妈妈们有福了,现在就可以访问 www.rootofmath.com 选择对应的年级,找到孩子比较薄弱的专题,点击"Practise Now!"在线做题了,喜欢打印的朋友也可以选择旁边的“Print”按钮打印出来在纸上完成。
不过我还是建议大家在网上直接完成啊,因为智能未来数学准备研发出新的功能,可以根据这些知识点为孩子们画出哪里会了哪里不会的全景图,如果孩子总是在打印出来的纸上完成的话,就享受不了这个酷酷的功能啦!
小算一下,应该可以为大家省下购买MathSmart的费用啦,赶紧
总 结
下面回答一下文中开头提出的问题:为什么学校老师讲的都会,孩子数学成绩却得不了高分?
回答这个问题之前,还是让我们来看看竞赛数学和基础数学的关系。
如果我们把孩子经过数学训练以后能够达到的解题能力比作运河的吞吐处理能力,那一个个的数学难题看成是准备通过孩子大脑运河的船。
基础数学训练的结果是这张图:
而竞赛数学训练的结果是这张图:
两张图一对比自然就回答了前面的问题:数学难题解得不好是因为孩子开出的运河还不够深,不够宽,大一点的船还无法通过;运河只要达到足够的深度和宽度,对应的大船就能通过,相应的数学难题就能被解决,孩子的数学成绩自然而然就上了一个台阶。
老师因为需要兼顾全部学生,因此在上课时给大家讲的几乎都是基础数学,没有条件为孩子把运河挖得很深,开得很宽;而考试却需要检测出来运河的深度和宽度,因此有几道超出老师所讲内容的难题是必要的。
因此数学成绩想要得高分,如果仅仅满足老师课堂上面讲的内容,运河的深度和宽度显然是不够的;在北美想要把运河挖深、开宽,参加数学竞赛是最好的选择。
本文为智能未来数学原创,文中所有数据均来自Rootofmath.com,由智能未来数学独家分析和整理,欢迎转发,转载请注明出处。
往期文章链接:
AMC美国数学竞赛10年级历年真题数据分析报告兼谈数学与职业的结合
滑铁卢高斯数学竞赛(7&8年级)历年真题数据分析报告兼谈对加拿大数学教育的思考
美国数学竞赛8年级1985-2017共33年的所有真题标注完了。
回想一遍看过的题目,我只想说:
数学基础!
解题速度!
太重要啦!!!
先看数据分析报告:

看到这份报告,阅读过智能未来数学发布的滑铁卢高斯数学竞赛、Elmacon数学竞赛等数据分析报告的朋友们一定会发现,这份排行榜似曾相识。
排在第一名的仍然是面积,106道真题如果均匀分布到33套试卷里面,每套试卷都有3道面积题。而且根据抽屉原理(Pigeonhole Principle),至少有一套试卷里面有4道以上的面积题![]()
难道是AMC在模仿?
其实不是,AMC才是北美数学竞赛的鼻祖呢!
AMC 8从1985年开始的。最早的AHSME ( American High School Mathematics Examination ) 从1950年就开始了,2000年的时候换成了AMC 12。
加拿大滑铁卢系列数学竞赛是从1998年开始的,而加拿大UBC Elmacon数学竞赛是2003年才开始的。
从北美数学竞赛历史看,或许Waterloo 和Elmacon为了与美国数学竞赛AMC接轨,有可能模仿了AMC的数学竞赛考试大纲![]()
AMC 8的题目都不算太难,大题的难度有的还不及滑铁卢高斯数学竞赛的最后5道题,在题量一样(都是25道选择题)的情况下,AMC 8的考试时间(40分钟)比滑铁卢高斯数学竞赛(60分钟)少20分钟。
由此看来AMC 8比的是做题速度和数学知识的熟练程度。
下面我们根据排名顺序过一下知识点。
第一名
Area(面积)
这是2007年AMC 8的23题,在当年算是一道难题:

题目信息很简单:求 5X5 格子里面阴影部分的面积?
此题如果循规蹈矩,采用正面思维,直接思考阴影部分如何划分成多个三角形后再求面积,要得出结果是比较困难的,因为三角形的底不好计算。
一种思路是添加辅助线,将中间的交叉点与四角顶点连接,可以用8个1X5/2的三角形面积减去四角的四个正方形面积,得到阴影部分的面积:
S=8*(1/2*1*5/2)-4
=10-4
=6。
更快的思路是思考问题的反面:先计算空白部分的面积,然后用总面积减去空白部分面积得到阴影部分面积。而空白部分的面积等于4个3X5/2的三角形加上四角面积为1的正方形,所以阴影部分面积:
S=5X5-4-4*1/2*3*5/2
=6。
答案选B。
通过此题大家可以看到变换解题思路对于提高解题速度的重要性。
再看一道更难一点的面积题,这是2017年AMC 8的压轴题:

题目翻译如下:上图中US和UT的长度为2,∠SUT=60度,弧度TR和弧度SR都是边长为2的圆的六分之一圆周,求UTRS围住的面积。
这道题故意卖了一个关子,把最关键的正三角形的一部分隐藏起来了,对于不会做辅助线解几何题的同学们来说确实有点困难。
事实上,只要加上辅助线,熟悉几何图形面积的同学很快就可以给出答案:

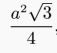
因为边长为a的正三角形的面积为:

因此三角形的面积为:

而两个六分之一圆相加以后正好是三分之一圆,因此面积为:

立即得到本题的答案为B:

第二名
Percentage(百分数)
需要指出的是在AMC 8中,充斥了大量的百分数与表格、图形相结合的题目,在真题数量上仅次于几何面积题。这反映了AMC 8与日常应用、未来职场数据分析的需求还是结合得比较好的。
例如2006年的第8题:

题目翻译如下:下表是KAMC电台的收听调查表,请根据此表计算出百分之多少的男生收听了广播?
本题为送分题,只要理解题目后做两个减法一个除法,再换成百分数即可,关键还是计算速度。
整个算式如下:
(136-58)/ (200-96)
=78/104
=75%
答案选E。
第三名
Fractions(分数)
AMC 8里面的分数题包括分数基本运算、分数与小数的互换、近似值估计、指数、排序、快速计算、数论、应用题等等,一样对考生的运算速度和基础知识的熟练程度要求比较高。
例如我们来看一道分数与简单数论结合的题目,这是1998年的第十题:

题目原文翻译如下:W,X,Y,Z代表集合{1,2,3,4}里面的四个不同的数,但顺序不一定对应,如果W/X-Y/Z=1,那么W+Y=?
这道题如果不借助一点数论知识,直接去凑的话,还是需要一点时间的。
事实上,因为等式右边为整数,而X,Z不同,如果X,Z为{3,4}里面的任意一个数,最后等式左边的运算结果会是一个分数。等式左边为分数,右边为整数1,这是不可能的。
因此X,Z只能从{1,2}里面取,从而W,Y只能从{3,4}里面取。
于是W+Y=7,答案为E。
如果需要验算结果的话,不难得出3/1-4/2=1满足题目要求。
第四名
Probability(概率)
如AMC 10、滑铁卢、Elmacon等比赛一样,概率计算问题也是AMC 8的热点。
不过AMC 8的概率问题普遍不难,只要掌握了概率运算的基本方法就可以快速搞定。
例如1987年最后一道压轴题:

题目翻译如下:瓶子里面有编过1-10号的10个球,Jack同学随机的取出一个球,然后Jill同学再随机的取出另外一个球。两个同学取出的球号加起来是偶数的概率是多少?
此题只要按照分步概率的计算方法,画出Tree Diagram,很容易得出:
偶数+偶数的概率为5/10*4/9=4/9的一半;
奇数+奇数的概率为5/10*4/9=4/9的一半;
两个4/9的一半加起来,就是4/9,因此答案选A。
AMC 8里面的Ratio(比率)题,有一部分与Area(面积)结合出题。
而Maximum and minimun(最大和最小)类型的题目,与数的排序、逻辑比较、应用的边界条件等关联比较多,限于篇幅,本文不再一一举例。
总 结
AMC 8作为北美初中生的数学竞赛,题目不难,但是对于计算速度和知识熟练程度要求较高。
整个比赛一共40分钟,25道题,每道题平均1.6分钟,如果抛去题目阅读理解的时间,每道题的答题时间少于1分钟。要想在这么短的时间内做出正确答案,考生平时有意识地加强心算能力的培养是必要的。
将数学的各种知识点关联起来学习,看到题目背景知识的全貌而不是仅仅局限于一个点,对于提高知识的熟练程度是大有裨益的。
今年的AMC 8将于2018年11月13日举行,欢迎大家报名智能未来数学针对11月份的竞赛开设的AMC 8强化冲刺班,请感兴趣的朋友关注我们的公众号,进入公众号以后选择右下角的“北美竞赛群”->"入群二维码"扫码入群报名。
本文为智能未来数学原创,文中所有数据均来自Rootofmath.com,由智能未来数学独家分析和整理,欢迎转发,转载请注明出处。
往期原创文章链接:
AMC美国数学竞赛10年级历年真题数据分析报告兼谈数学与职业的结合
滑铁卢高斯数学竞赛(7&8年级)历年真题数据分析报告兼谈对加拿大数学教育的思考