
1.打开你需要录入答案的试卷,复制试卷的标题:
2.到试卷列表搜索框里面按住CTRL+V将刚才复制的试卷标题填入后按右边的搜索:
3.在搜索到的试卷列表中,选择需要录入答案的试卷最右边的"题目"链接:
4.进去后选择任意题目答案列中的试卷ID打开链接:
5.进入后就可以看到源文档中的答案信息(如果该试卷有答案的话),选择Previous和Next进行翻页,或者输入页码后点击Go To Page:
6.将有答案信息的窗口拖拽到另一个显示器上便于一边看一边录入,记下来题目的答案,例如第一题的答案为"(5,-2);7":
7.在第3步搜索到的试卷窗口中点"编辑"按钮:
8.在弹出的窗口中滚动到下方"简略答案信息",在下方的编辑框里面录入答案即可:
9.将刚才看到的答案录入到这里。需要将另一个显示器中看到的整套试卷的答案都录入进去,例如刚才这套试卷:
10.请记住:同一个试题答案用;分隔;不同试题答案用@分隔。对于选择题只需要录入ABCDE这种字符串,中间不需要@分隔,系统会自动识别。
11.录入完成后向上翻到弹出框的顶部,点击"修改"按钮(请注意取消按钮不会保存你录入的信息):
12.修改完成后回到试卷列表页,勾选需要更新答案信息的试卷后点击右上角的"更新题目"按钮:
13.系统会提示更新完成。至此,这套试卷所有题目的答案都已经录入并更新好了。可以点进去确认一下:
14.如果在输入标准答案之前学生已经完成 作业,系统给判的分数会不太准确,需要手动给同学们重算一下分数。
选择"培训班作业"菜单,输入课程ID列出改该课程下所有的学生列表,选择需要重算分数的学生后点击"重算分数"按钮,像这样:
15.恭喜!也谢谢你对Rootofmath.com题库的贡献!
没有大胆的猜想,就做不出伟大的发现
——牛顿
引言
素数(又称质数)历来都是数学界的宠儿,有关素数的话题在数学界总能引起热议,其原因可能就在于它那孤独又高冷的一面,常常让人可望而不可及。
2018年伊始,隔壁的日本人就干了一件让国人匪夷所思的事。他们把2017年12月26日发现的迄今为止的最大素数——第50个梅森素数——印成了一本书,书名为《2017年最大的素数》,这本书厚32mm, 共719页。最重要的是整本书只印了一个数,即2^77232917-1,这个数一共23249425位,如果按照2个数字一个字来算,那就是1000多万字的巨著了。让人不可思议的是,这本售价约113人民币的书在发行两周后迅速登上日本亚马逊数学类畅销书的第一位,且卖到断货。
有关素数的著作多得像浩瀚宇宙中的星辰,但我眼中最亮的那颗当属《素数之恋》。从来没有哪本数学书像它这般让我着迷。它把深奥的数学阐述的如此浅显易懂又不乏严谨,它将历史人文与数学融为一体,相得益彰。从小学就能看懂的素数定义和求法,到简单的初等数论,最后到复杂的解析数论,它跨越了千年的时空,娓娓道来,一气呵成。它用毕达哥拉斯、欧几里得、牛顿、欧拉、高斯、伯努利、费马、黎曼、罗素、勒让德、希尔伯特这些闪亮的明珠串起了整个数学史。
为什么这本书如此吸引人?因为作者是学数学里最会写小说的,又是作家里数学学的最好的。
正是由于质数独特而神秘的气质,它甚至成为了小说的主角。《质数的孤独》是意大利80后作家、粒子物理学博士保罗·乔尔达诺的处女作。质数是只能被1和自身整除的数字,它们是所有整数中特殊又孤独的存在,作者形象地用质数这一数学概念来形容两人孤独的状态。2008年《质数的孤独》一经出版,即获得意大利最高文学奖斯特雷加奖,并迅速成为欧美超级畅销书,迄今在欧洲销量已超过500万册。
什么是素数?
我想以扎西拉姆·多多的一首歌曲《班扎古鲁白玛的沉默》开始,歌词的一部分是这样的:
你见,或者不见我,我就在那里,不悲不喜。
你念,或者不念我,情就在那里,不来不去。
你爱,或者不爱我,爱就在那里,不增不减。
为了说清楚什么是质数,我们先从自然数开始。
自然数,顾名思义,是大自然的一种客观存在。有些人可能不服,“自然数看不见摸不着,也能叫客观存在?” 但它确实自宇宙诞生起就存在着,等待智慧生物去发现它并表示它,正如上面的歌词所说“你见,或者不见我,我就在那里”。
数数是人类诞生起就面临的最基本任务,不论在地球的哪个角落,虽然人类对的数字的表示方式可能千差万别,但终究面临着要判断自己的早上放出去的牛羊晚上有没有全部归来的问题。
素数,也是这么一个存在,不管你念或者不念它,它就在那里。在数的历史发展过程中,人类“发明创造”了许多数,有的甚至连创造者本身都觉得不真实,所以被称为虚数。但至少素数,它是一种客观存在。
素数是什么?其实很好解释。有一堆苹果,想平均分给一群人,如果不管这群人有多少(不能是1个人或与苹果个数同样多的人),都无法平均分给每个人而不剩,那么这堆苹果的个数就是素数。用数学的语言就是:一个只能被1或它自身整除的数是素数。
下表给出了100以内的素数。
怎么判断一个数是否为素数?
给定一个数N,如何判断它是否为质数呢? 让我们直接回归最初的定义。许多时候,从最原始的定义开始,反而能无往而不利。
最笨的办法:从2开始,逐个地去除N,如果一直到N-1,都除不尽N,那么N就是素数。
但显然,这个做法做的除法有点多。比如判断101是不是质数,既然被2不能整除,它也不能被2的倍数整除,不能被3整除,那也不能被3的倍数整除,等等…… 因此,看上去只需要用比101小的素数去除101即可。
那么比101的素数有多少呢? 还有不少呢。
2,3,5,7,11,13,17,19,23,29,31,37,41,43,47,53,59,61,67,71,73,79,83,89,97
是不是要一个个去除呢?答案是否定的。许多刚学素数的同学会说,大于50的就不用试了,因为2倍已经超过101了。
但实际上还能更小。假设N=a×b, a≤b, 那么a≤根号N,也就是说如果N能表示成两个数的乘积,那么N一定有一个因子不大于根号N。从而,如果挨个地拿不超过根号N的素数去除N,一定可以有某一个数能除的尽,否则N就是素数了。
对于101,我们只需拿不超过10的素数去除,也就是2、3、5、7,如果都不能除尽,那101就是素数了。这,是不是大大降低了除法的次数?遗憾的是,我们现在很多的判断素数的程序,用的还是最笨的办法。
当然,上面的方法只能判断一个数是否为素数。如果想批量生产素数,那可以用“埃拉托斯特尼筛”法,简称“筛选法”。顾名思义,这一方法好比一个筛子,把非素数逐个筛掉,剩下的就是素数。具体做法是:
先把N个自然数按次序排列起来;
1不是质数,也不是合数,要划去;
第二个数2是质数留下来,而把2后面所有能被2整除的数都划去;
2后面第一个没划去的数是3,把3留下,再把3后面所有能被3整除的数都划去;
3后面第一个没划去的数是5,把5留下,再把5后面所有能被5整除的数都划去;
这样一直做下去,就会把不超过N的全部合数都筛掉,留下的就是不超过N的全部质数。
实际上,只需要筛选到不大于根号N即可。以N=30为例,只需进行3次筛选(分别筛掉2、3、5的倍数)即可找出30以内的所有素数。
2,3,4,5,6,7,8,9,10,11,12,13,14,15,16,17,18,19,20,21,22,23,24,25,26,27,28,29,30
2,3,5,7,9,11,13,15,17,19,21,23,25,27,29 (第1遍筛选)
2,3,5,7,11,13,17,19,23,25,29 (第2遍筛选)
2,3,5,7,11,13,17,19,23,29 (第3遍筛选)
不要小看这一筛法,欧拉用这一思想发现了下面被称为金钥匙的欧拉公式,建立了自然数序列和素数序列之间的某种联系。
稍微观察一下,你就会发现这个公式让人惊叹的地方:公式左边是对所有自然数的某个幂次求和,而右边则是对所有素数的某个幂次的运算求积。自然数和素数之间居然有这种联系,这难道不是上帝的安排?
有多少个素数?
一个经常问的问题是:质数有多少个? 结论是有无穷多个。
欧几里得给出了非常漂亮的反证法,足以作为反证法的经典教案。
素数有多重要?
数学家对素数的痴迷程度为什么如此之高?可以毫不夸张地说,素数之于数的重要性就相当于原子之于物质的重要性。
和原子构成了物质一样,任何一个自然数都可以看成是某些素数组合而成,这就是著名的素数分解定理:
这一定理的要点在于分解的唯一性,很多人认为这是显然的共识,但实际上这一点是可以证明的,同样可以用反证法(篇幅限制,这里就略去)。质数分解定理是数论的最基本和最重要的定理。它把对自然数的研究转化为对其最基本的元素——素数——的研究。
有了这个公式,如果你要求两个数的最大公约数或最小公倍数,那只要找出相同的质因子,并对幂指数取两者的最小值或最大值即可。
欧拉关于此还有一个欧拉定理(怎么又是欧拉?),所解决的是一个给定自然数共有多少个因数的问题。比如,8有1,2,4,8这4个因子,而12有1,2,3,4,6,12这6个因子。
在质因数分解的基础上,辅以简单的乘法原理,就可以得到一个自然数所有因数的个数为(1+a1)(1+a2)+…(1+an) (把构造一个因数作为一项任务,这一任务可分成n步,第一步选择p1的因子,第二步选择p2的因子,…,第n步选择pn的因子;而以p1为例,因数中可以不包含p1, 包含1个p1, …, 直至包含a1个p1,即一共有1+a1种选法)。
历史上的许多著名数学问题都与素数有关,比如:
哥德巴赫猜想:是否每个大于2的偶数都可以写成两个素数之和?
孪生素数猜想:孪生素数就是差为2的素数对,例比如11和13。是否存在无穷多个孪生素数对?
梅森素数猜想:2^p -1的形式,p为素数。是否存在无穷多个梅森素数?
事实上,如果哥德巴赫猜想为真的话,我们就发现了素数作为自然数生成元的另一种能力,即任何一个数都可以由2个或3个素数相加而成。
让人魂牵梦绕的素数定理
几百年来,一个问题引发了许多数学家的思考:既然素数很重要,能不能有某种规则,来产生素数?遗憾的是,这样的规则一直未被发现。
当大家在寻找素数的时候,发现随着数越来越大,素数越来越少。比如100以内有25个素数,1000以内有168个素数,1000000以内只有78498个。为什么1000以内是168个素数,而不是158个或178个?有没有一个公式或规则,能告诉我们,小于一个给定数的素数有多少个?
这个问题正是黎曼在1859年被柏林科学院任命为通信院士后向科学院提交的一篇论文,题目为《论小于某给定值的素数的个数》。
事实上,关于素数分布的问题在更早些时候已经引起了数学大家如欧拉和高斯的关注。高斯就曾给出了素数分布规律的猜想。他认为:
这一发现可以被看作是探索未知的经典案例,需要有超凡的毅力(设想一下在没有计算机的年代求几千万以内的素数)和洞察力。不妨从下表的素数个数开始。看上去没有什么规律,只能看出随着N的增大,小于N的素数密度逐渐稀疏。
我们不妨尝试观察一下这个密度到底如何变化,不妨取密度的倒数N/π(N),如下表。稍微有一点找规律经验的人大概就看出来随着N以指数速度递增,N/π(N)大致是以固定的步长递增。
指数函数和等差的关系,稍微学过一点中等数学的人就能知道,将指数函数取对数,那就变成线性函数了。下表给出了lnN和N/π(N)的对比。
看上去是不是很简单?确实,但如果你觉得这么简单的规律你也可以发现和总结,那就错了。仅靠一支笔和一张纸,求出1000000000以内的质数,要不你试试? 据说当年15岁的高斯没事的时候就是算素数玩,你行吗?
这个被冠以“素数定理”的命题得到了高斯、勒让德、狄利克雷、黎曼、切比雪夫、塞尔贝格、爱尔特希(Paul Erdos)和阿达马(Hadmard)等众多数学大家的重视。据说无论谁证明了素数定理,都将得到永生。
时至今日,素数定理已被证明,小于N的素数个数的上限和下限都已经给出,但π(N)的确切值是多少,依然是一个悬而未决的问题,一批又一批的数学家们前赴后继想登上最高峰,但都以失败告终,但这并不妨碍后面还有一批又一批的攀登者。
注:本文转自网络






上面说了,线性代数是一种高层次抽象模型,我们可以采用学习一门程序语言的方法去学习它的语法和语义,但是这一认识不只针对线性代数,它是对每一门数学学科通用的,可能有人会有疑问。
微积分、概率论也是高层次抽象,那么线性代数这种高层次抽象的特点在哪里呢?
这就问到了根本上,线性代数的核心:向量模型。
我们在初等数学中学习的坐标系属于笛卡尔所提出的解析模型,这个模型很有用,但同时也有很大的缺点。
坐标系是人为加上的虚拟参考系,但是我们要解决的问题,比如求面积,图形旋转、拉伸等应用都是和坐标系无关的,建立一个虚拟的坐标系往往无助于解决问题,刚才三角形面积的例子就是这样。
向量模型很好地克服了解析模型的缺点,如果说解析模型代表了某种“绝对性”的世界观,那么向量模型就代表了某种“相对性”的世界观,我推荐把向量模型和解析模型看作对立的两种模型。
向量模型中定义了向量和标量的概念。向量具有大小和方向,满足线性组合法则;标量是只有大小没有方向的量(注:标量的另一种更深刻的定义是在旋转变换下保持不变的量)。
向量模型的优点之一是其坐标系无关性,也就是相对性,它在定义向量和运算规则的时候从一开始就抛开了坐标系的束缚,不管坐标轴怎么旋转,我都能适应,向量的线性组合、内积、叉积、线性变换等等运算全部都是坐标系无关的。
注意,所谓坐标系无关性不是说就没有坐标系了,还是有的,刚才三角形例子的顶点就是用坐标表示的,只是在解决问题的时候不同的坐标系不会构成影响。
用一个比喻,Java号称平台无关,不是说Java就是空中楼阁,而是说小伙伴用Java编程时底层是Linux还是Windows往往对自身没有影响。
向量模型有什么好处呢?
除了刚才三角形面积问题是一个例子,下面再举一个几何的例子:
给定三维坐标系中的一点(x0, y0, z0)和一个平面a*x + b*y + c*z + d = 0,求点到平面的垂直距离?

这个问题如果是要从解析几何的角度去解决几乎复杂到没法下手,除非是平面恰好是过坐标轴的特殊情况,但是如果从向量模型考虑就很简单:
根据平面方程,平面的法向量(Normal Vector)是v=(a, b, c),设从平面上任意一点(x, y, z)到(x0, y0, z0)的向量为w,那么通过点积dot_product(w, v)算出w到v的投影向量p,其大小就是(x0, y0, z0)到平面a*x + b*y + c*z + d = 0的垂直距离。
这里用到了向量模型的基本概念:法向量,投影向量,点积,整个问题解决过程简洁明快。

下面再给小伙伴们留一道相似的练习题(熟悉机器学习的朋友可能会发现这是线性代数在线性分类中的应用):
给定n维空间中的两点(a1, a2, ... an),(b1, b2, ... bn)和一个超平面c1*x1 + c2*x2 ... + cn*xn + d = 0,请判断两点在超平面的同侧或异侧?
离开向量,下面我们要请出线性代数的另一个主角:矩阵(Matrix)。
线性代数定义了矩阵和向量、矩阵和矩阵的乘法,运算规则很复杂,用来做什么也不清楚,很多初学者都不能很好地理解,可以说矩阵是学好线性代数的拦路虎。
遇到复杂的东西,往往需要先避免一头陷入细节,先从整体上把握它。
其实,从程序的角度看,无论形式多么奇怪,它无非是一种语法,语法必然对应了语义,所以理解矩阵的重点在于理解其语义。
矩阵的语义不止一种,在不同的环境中有不同的语义,在同一环境中也可以有不同的解读,最常见的包括:
1)表示一个线性变换;
2)表示列向量或行向量的集合;
3)表示子矩阵的集合。
矩阵作为一个整体对应的是线性变换语义:用矩阵A乘以一个向量v得到w,矩阵A就代表了v到w的线性变换。
比如,如果想要把向量v0按逆时针方向旋转60度得到v',只需要用旋转变换矩阵(Rotation Matrix)去乘v0就可以了。

除了旋转变换,拉伸变换也是一种常见的变换,比如,我们可以通过一个拉伸矩阵把向量沿x轴拉伸2倍(请试着自己给出拉伸矩阵的形式)。
更重要的是,矩阵乘法有一个很好的性质:满足结合率,这就意味着可以对线性变换进行叠加。
举个例子,我们可以把“沿逆时针旋转60度”的矩阵M和“沿x轴拉伸2倍”的矩阵N相乘,得到一个新矩阵T来代表“沿逆时针旋转60度并沿x轴拉伸2倍”。
这是不是很像我们Shell中把多个命令通过管道进行叠加呢?
上面重点介绍了向量模型的坐标系无关性,除此之外,向量模型的另一优点是它能描述线性关系,下面我们来看一个熟悉的Fibonacci数列的例子:
Fibonacci数列定义为:f(n) = f(n-1) + f(n-2), f(0) = 0, f(1) = 1;问题:输入n,请给出求f(n)的时间复杂度不超过O(logn)的算法。
首先,我们构造两个向量v1=(f(n+1), f(n))和v2=(f(n+2), f(n+1)),根据Fibonacci
数列性质,我们可以得到从v1到v2的递推变换矩阵:

并进一步得到:

这样就把线性递推问题转化为了矩阵的n次幂经典问题,在O(log n)时间复杂度内解决。除了线性递推数列,初等数学中著名的n元一次方程组问题也可以转化为矩阵和向量乘法形式更容易地解决。
这个例子是想说明,凡是满足线性关系的系统都是向量模型的用武之地,我们往往可以把它转化为线性代数得到简洁高效的解决方案。
本文提出了一种观点:从应用的角度,我们可以把线性代数视为一门特定领域的程序语言。线性代数在初等数学基础上建立了向量模型,定义了一套语法和语义,符合程序语言的语言契约。
向量模型具有坐标系无关性和线性性,它是整个线性代数的核心,是解决线性空间问题的最佳模型。向量的概念、性质、关系、变换是掌握和运用线性代数的重点。
对于编程来说,学好数学是必不可少的。对于线性代数而言,用编程的方式来思考可以帮助理解。
注:本文转自网络

要说一元一次方程的求解问题,想必是从人类开始使用“算术”开始,就可以了。接下来的介绍的是一元二次、三次、四次方程的代数解,然而这三类方程的求解问题,却跨越了1000多年,然而对于五次及更高次代数方程的求解,我们放弃了根式解的寻找。
一元二次方程
古希腊时期,对一元二次方程的求解问题,主要是从几何的角度考虑。
公元300年左右,古希腊数学家丢番图使用类似于现在的方法,求解一元二次方程

得出解:

求根公式
只是由于未引入复数,所以当b^2-4ac<0时,解无意义。学过一元二次方程的话,会比较熟悉,通过配方来推导出求根公式。
而法国数学家弗朗索瓦·韦达于1615年《论方程的识别与订正》中阐述了一元二次方程根与系数的关系,因此该关系被称为韦达定理。如上述一元二次方程,有两个根x_1、x_2有如下关系:

韦达定理
由一元二次方程的求根公式,不难推导出韦达定理。而韦达定理的逆定理也是成立的。
一元三次代数方程
16世纪的意大利流行数学家之间的“挑战”,利用自己掌握的数学技能,相互之间PK。其中三次方程的解法就引起了一场“腥风血雨”。

塔尔塔利亚
1510年左右,波伦亚大学教授费罗发现了缺少二次项的三次方程:

的解法,并在离世前传给了学生菲奥尔。
1530年左右,塔尔塔利亚得到了缺少一次项的三次方程:

菲奥尔向其提出挑战,但在竞赛前,塔尔塔利亚攻克了缺少二次项的三次方程的解法。
与塔尔塔利亚同时代的卡尔达诺和其助手费拉里,在塔尔塔利亚三次方程解法的基础上,得出了一般三次方程

的解法。并将其收录到自己的数学名著《大衍术》中。也因如此引起了卡尔达诺与塔尔塔利亚的争斗!关于争斗的细节请阅读:狭路相逢的同行,两败俱伤的冤家:三次方程的求解应归功于谁?
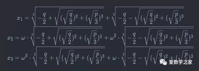
接下来看一下三次方程的求根公式的推导,由于《大衍术》的重大影响,公式被称为“卡尔达诺”公式。
假设方程形如:

因为对一般的三次方程:

两端除以a,并令

代入,则可转化为方程(1)的形式。
假设方程(1)的根可以写成x=u+v的形式,这里u和v是待定参数。代入方程整理得:

如果u和v满足:

则方程(2)成立,且由一元二次方程的韦达定理,u^3和v^3是方程

的两个根。利用一元二次方程的求根公式,求解

不妨记

则

其中

结合uv=-p/3使用u和v配对,可得方程(1)的三个根:

其中A或B右边的根式下的式子称为三次方程的判别式。
一元四次代数方程
卡尔达诺的助手费拉里利用配方的方法,将四次方程的求解问题转化为三次和二次方程的求解问题,从而得到了一元四次代数方程的求根公式。接下来介绍一下,一元四次代数方程求根公式的推导过程。
不妨设四次方程形如:

将(6)左侧的后三项移到右边,并在两端同时加上(bx/2)^2,配方得

方程(7)两边加上

其中y是一个与x无关的待定量,可得

方程(8)的右端,在选取恰当的y后,可以写成完全平方的形式。事实上,只要y能满足下面的等式

即可。求解三次方程(9)解得y后,代入方程(8)后,两边开方可以得到两个一元二次方程。解这两个二次方程,得到原四次方程的四个根。
一元五次及更高次代数方程
自从一元四次方程的求根公式问世之后的三个世纪里,数学家们都在寻找五次或更高次的方程的求根公式上。大名鼎鼎的数学大师欧拉、拉格朗日都曾经试图给出五次方程的求根公式,但都没有成功!
拉格朗日找到了求得一至四次方程的求根公式的统一方法——拉格朗日预解式方法,该方法对一
般的五次方程是无效的,以至于拉格朗日认为:更高次方程的求解问题是在向人类的智慧挑战。

拉格朗日
在大量数学家的尝试之后,人们开始怀疑:四次以上的高次方程是否存在根式解?比如高斯在《算术研究》中写道,某些高次代数方程不能够用根式法求解。只是,高斯没有给出严格的证明。但高斯给出了代数基本定理:一元n次多项式方程在复数域上至少有一个根。

高斯
获得实质性进展的是年轻的挪威天才数学家阿贝尔。1824年,22岁的阿贝尔完成论文《论代数方程,证明一般五次方程的不可解性》,证明了五次以上的一般方程不存在根式解。

阿贝尔
与阿贝尔同时代的伽罗华发展了群论方法,并依此证明了一至四次代数方程可解,更高次一般代数方程不可解的证明;除此之外,还找到了方程存在根式解时,其系数所满足的充要条件。
韦达定理:如果一元n次方程

的根分别是x_1,x_2,...,x_n,那么

*文章部分内容整理于网络

1.与复习数学课老师板书笔记一样,请通过My Account->My Notes在列表里面找到Java课程名称:
2.点击选中课程最右边的Details:
3.进去以后你会看到这堂课老师的所有手写电子板书和所有示例代码列表,手写电子板书笔记和数学课是一样的:
4.如果要复习老师讲过的任何一个示例代码片段,只需要点一下那个按钮,就可以看到示例代码了:
5.看完后点Finish 返回到该课程的所有笔记页面。
谢谢大家使用,有问题请反馈给我们,谢谢!

1.Just like reviewing the notes of Math class, go to the directory: My Account->My Notes and locate the coding lesson you want the notes:
2.Click the Details link on the right:
3.You will see all the code snippets in the coding class including the handwriting notes:
4.Click one of the code snippet button to get the source code:
5.Click Finish to go back to the previous notes page。
Your feedback is much appreciated!

1.Open the payment link,for example, if you want to pay the tuition for the senior coding class, open the following page and click the button "Add to cart":
2.If you do not login, the website will ask you to login first. Just input your email and password for the account you want to pay.
3.If you lost you payment link after you login, please open the payment link again and click the button "Add to cart" just the same as step 1;
4.Click "Shopping cart" at the top right corner of the website:
5.Please make sure the payment amount is correct,click the checkbox to accept the agreement and then click "Paypal Checkout" button:
6.You can click "Pay with credit or Visa Debit card" if you have no paypal account, or you can login to pay if you have paypal account.
7.Input all the credit card information just like what you did for online payment and then click "Continue":
8.After processing the payment you will be redirected back to Rootofmath.com page,please click "Confirm" on this page:
9.The system prompts payment is done successfully,click "Continue" to see the result:
10.Your tuition is saved successfully into the system.You can review the lessons related to this payment anytime you want.
Thanks for your payment!

1.打开你得到的支付链接,例如如果是支付高级编程班的学费,你会得到如下链接。打开链接后点击"加入购物车"
2.如果你还没有登录的话,系统会提示你先登录。请输入你需要充值的账号邮箱和密码:
3.如果登录后系统没有跳转到支付链接页面,请重新打开支付链接页面并点击"加入购物车";
4.点一下网站右上角的"购物车":
5.请检查需要支付的产品名称和金额,确认无误后勾选"我同意服务条款,并无条件地遵守它们",然后点击最下方的"PayPal Check out":
6.系统会跳转到Paypay支付页面。如果你没有Paypal账号的话请点击最下方的 "Pay with credit or Visa Debit card";如果你希望使用Paypal账号支付的话请用Paypal账号登录后支付.
7.在接下来的页面里面请输入信用卡的所有相关信息并点击 "Continue":
8.Paypal受理支付请求后会跳转到Rootofmath.com,请点击 "确认" 以继续:
9.系统提示订单支付已经成功,点击 "继续" 可以看到系统保存的支付记录:
10.你可以随时通过我的账户->我的学费->课程列表看到此支付对应的课程消费情况.
非常感谢您使用Rootofmath.com的在线支付系统!

诺贝尔科学奖(包括物理、化学、医学、经济)1901年首次颁发,距今118年,只有1名中国籍人屠呦呦于2015年获诺贝尔医学奖。
世界上诺贝尔奖人数(校友、教职工及正式研究人员)最多的十所高校分别是:
1、美国哈佛大学(158人)
2、英国剑桥大学(117人)
3、美国加州大学伯克利分校(107人)
4、美国芝加哥大学(98人)
5、美国哥伦比亚大学(96人)
6、美国麻省理工学院(93人)
7、美国斯坦福大学(83人)
8、美国加州理工学院(73人)
9、英国牛津大学(69人)
10、美国普林斯顿大学(65人)。
由于诺贝尔奖没有设数学奖,在国际数学界,将历时最久、影响最大的二大数学奖事视同诺贝尔奖。
第一大奖:菲尔茨奖。


历经82年,由国际数学联盟主办,1936年首次颁发。四年一次,获奖者未满40岁,每次2-4人,每人可得到15000加拿大元(相当于10万人民币)。
截止2018年,世界上共有60位数学家获得过菲尔兹奖,其中2位为华裔数学家,分别是1982年获奖的数学家丘成桐和2006年获奖的数学家陶哲轩。
世界上获菲尔兹奖得主数量,包括校友、教授和正式研究人员等排名前五的高校是:
1、哈佛大学(18位)
2、巴黎大学(16位)
3、普林斯顿大学(15位)
4、巴黎高等师范学院(14位)
5、加州大学伯克利分校(14位)。
获得菲尔兹奖人数的前五名基高校有三所排在诺贝尔奖人数高校的前十名。哈佛大学菲奖第1,诺奖第1;普林斯顿大学菲奖第3,诺奖第10;加州伯克利分校菲奖第5,诺奖第3.
第二大奖:沃尔夫数学奖。


历经41年,由董事会(由5名沃尔夫家族成员组成)和理事会(由以色列文化教育部长负责,若干名以色列学者和官员组成)领导,下设评奖委员会,负责评奖事宜。评奖委员会由每学科领域3—5人组成,逐年更换。该奖每年一次,1978首发,至2019年共有62名数学家获奖,奖金10万美元(相当于71万人民币)。著名华人数学家陈省身教授就曾与1983年获得沃尔夫数学奖。丘成桐获2010年沃尔夫数学奖。
沃尔夫同时设有农业奖、医学奖、物理奖、化学奖、艺术奖。除了数学奖是按年颁发外,其它奖不定期。
1978年,美籍华人吴健雄荣获首次颁发的沃尔夫物理学奖。
1991年,台湾科学家杨祥发获沃尔夫农业奖。
2004年,“杂交水稻之父”袁隆平获沃尔夫农业奖。
2004年,美籍华人钱永健获得了沃尔夫医学奖。
2011年,美籍华人邓青云荣获沃尔夫化学奖。

此奖无年龄限制,以获奖的一生成就来评定,为终身奖,因此,沃尔夫数学奖堪称数学领域的诺贝尔奖。
除上述二大奖之外,国际数学界还有有二大奖项,也得到国际社会公认,但因举办时间都不到二十年,影响力较上述两大奖项稍弱。
1、阿贝尔奖。


历经16年,是挪威设立的数学界大奖。2003年首次颁发,每年一次,奖金同诺贝尔奖(相当于600人民币)。到2019年,共有20名数学家获阿贝尔奖。
2、陈省身奖。


历经9年 ,与菲尔茨奖一样,由国际数学联盟主办,为纪念已故华人数学家陈省身而设立,每4年一次,每次1人,奖金50万美元(相当于360万人民币)。陈省身奖不同于中国数学会所颁发的陈省身数学奖,后者只颁发给中国国内的数学家 。2010年首届颁发,2014年第二届,2018年第三届,共有3位数学家获奖。
与国际数学大奖相对应的是,国内也有二项数学大奖,陈省身数学奖与华罗庚数学奖。
1、陈省身数学奖。

由中国数学会设立,奖励50岁以下中国中青年数学家。每两年评选一次,每次2人,每人奖金10万人民币。1987年首次颁发,至2017年,共举办16届,有32位中青年数学家获陈省身数学奖。陈省身数学奖不同于陈省身奖,陈省身奖是国际性质。
2、华罗庚数学奖。

由中国数学会设立,奖励中国数学家,获奖人年龄在50岁至70岁之间 。每两年评选一次,每次2人,1992年首届,到2017年,举办了13届,共有25人获华罗庚数学奖。
陈省身数学奖、华罗庚数学奖、中科院数学院士之间是什么关系呢?
如果以评上中科院数学院士为标杆,获奖与评上院士之间先后顺序为:
陈省身数学奖→→数学院士→→华罗庚数学奖。
从统计数据上看,获得陈省身奖不一定能评上院士,有院士称号的基本上能得华罗庚奖。
从1987-2017年,获陈省身奖的有32人,其中评上院士的14人。最快当年得陈省身奖,当年评上院士,如中科院的袁亚湘和南开大学的陈永川,都是2011年得陈省身数学奖并评上院士。最迟的为中科院的李邦河,1989年得陈省身数学奖,12年后到2001年才评上院士。
但评上数学院士后,要获得华罗庚奖,要等4-22年。在华罗庚数学奖的25人中,也有4人不是院士,他们是中科大的龚昇、同济大学姜礼尚、北京大学钱敏、中南大学的侯振挺。
中国数学二大奖(陈省身数学奖、华罗庚数学奖)与国际数学二大奖(菲尔兹奖、沃尔夫奖)有哪些差距呢?

这是一个专业性很强的工作,一般人很难分清高下,只是那些数学专有词汇都会让你云里雾里,如常微分、流形浸入、黎曼映射逼近、偏微分等等。
但是,还是可以找出一些蛛丝马迹来比较评判的。如获菲尔兹奖的常用评判语:
1、证明某个猜想。如英国小伙子安德鲁·怀尔斯于1998年获菲奖,主要成就是“证明费马猜想”。华裔小伙子丘成桐于1982年获菲奖,主要成就是“证明卡拉比猜想”“正质量猜想”。
2、创立某个方程。如法国小伙子利翁于1994年获菲奖,主要成就是创立“玻尔兹曼方程”。
3、发展某个理论。如俄罗斯小伙子弗沃特斯基于2002年获奖,主要成就是“发展了新的代数簇上同调理论”
4、发现某个定理。华裔小伙子陶哲轩于2006年获菲奖,主要成就是用质数级数解决了一个由欧几里得提出的与“孪生质数”相关的猜想,发现“格林—陶定理”。
5、建立某个联系。法国小伙子拉佛阁2002年获菲奖,主要成就是“证明了与函数域相应的整体朗兰兹纲领,从而在数论与分析两大领域之间建立了新的联系”。
6、探索前缘有得。如俄罗斯小伙子佩雷尔曼2006年获菲奖,主要成就是“因为他在几何学以及对瑞奇流中的分析和几何结构的革命化见识。”
7、创造某个理论。如奥地利小伙子马丁海尔2014年获奖,主要成就是“对随机偏微分方程理论作出了突出的贡献, 特别地, 为这类方程的正则性结构创造了理论”。
8、找到数学方法。如以色列小伙子埃隆2010年获菲奖,主要成就是“遍历理论的测度刚性及其在数论中的应用”。

中国数学家都是哪些成就呢?以国内二大数学奖和数学院士为例说明:
1、中国某方面创始人。如1955年首届数学院士苏步青为“中国微分几何学派创始人”。华罗庚为“中国解析数论、矩阵几何学、典型群、自守函数论与多元复变函数论等多方面研究的创始人和开拓者”。段学复为“中国群表示论的奠基人”。2005年数学院士彭实戈为“中国金融数学第一人”。
2、解决了某个问题。如2001年数学院士田刚,主要成就是“解决了辛几何中Arnold猜想的非退化情形,以及接触几何中Weinstein猜想的稳定情形;在高维规范场数学理论研究中,建立了自对偶Yang-Mills联络与标度几何间的深刻联系,给出了用标度闭链对该种联络进行紧化的途径”。
3、数学前沿探索。如1999年院士文兰,主要成就“动力系统学术带头人”。“把西方的理论与廖山涛院士的理论结合起来,将研究工作推进到国际前沿”。
4、出版总结性专著。如1991年院士王梓坤,在概率论方面著书9部,如:《概率论基础及其应用》、《随机过程论》、《生灭过程与马尔科夫链》、《随机过程通论》、《马尔可夫过程和今日数学》。
5、出版科普专著。1995年院士张景中,主要成就“1990年被中国科普协会审定为建国以来贡献突出的科普作家之一,1994年被中国少年儿童出版社评为十大金作家之一。作品有《教育数学丛书》、《数学家的眼光》、《院士数学讲座、《院士数学讲座专辑(3册)》、《院士数学讲座:帮你学数学》”。
从这些成就评语上看,中国顶尖数学家与国际顶尖数学家差距、格局、眼光还是显而易见的。
怎么评判,还是留给读者吧。