
本文与上一篇文章中间间隔的时间有点长。
向各位读友解释一下原因:这段时间主要在集中精力完成Rootofmath.com数学题库建设。
刚刚从数据库中查了一下数据,目前Rootofmath.com分类整理的北美数学竞赛题已达到49258道,内容涵盖从5年级到12年级诸多常见竞赛专题,大部分题库在内部培训使用状态中。如需了解题库的更多信息,请关注公众号"智能未来数学"的后续文章。
想要刷题的同学应该可以通过Rootofmath.com找到刷不完的题了——当然我们不建议孩子们通过这种方式学数学。智能未来数学倡导从根上学数学(Rootofmath.com的由来),做题要系统,要精,不刷同质题。
言归正传,回到今天本文的主题。
一、AMC12简介
AMC12是12年级美国数学竞赛的简称,12年级及以下并且考试当天在19.5周岁以下的同学都可以参加。
AMC12考察的知识点包括除微积分以外的所有中学数学知识,如三角函数、复数、不等式、对数等等,难度明显高于AMC8和AMC10。
AMC12的前身叫AHSME,AHSME自1950年开始举办,在1999年以前都叫这个名字。因为AHSME的题目相对比较简单,所以本文不涉及AHSME的真题分析。
本文基于对AMC12从2000年到2019年20年共38套试卷的分析,包括AMC 12A和AMC 12B,自2002年以后是每年2套,2000年和2001年不分12A和12B,只有1套,所以一共是38套试卷,950道真题。
细心的读友肯定会问:为什么有12A和12B之分呢?
AMC12每年有两次考试机会,分别是12A和12B,12B一般比12A晚一周考试。考生需要提前问询组织学校的考试时间,一般学校每年只组织一次。
AMC12每套试卷共25道题,满分150分,要求答题者在75分钟之内完成。考察范围较广,难度较大,需要应试者具备扎实的数学功底和思维发散性,很多题目都需要一些特殊的技巧才能解出。
先来看看2019年AMC 12的分数分布情况。
这是2019年AMC 12A:

这是2019年AMC 12B:

可以看到,全球有近5.5万名考生参加了AMC 12的考试,33人拿到了满分,要进全球Top 1%需要获得121.5分以上,进全球Top 5%需要获得84分以上。
二、历年真题数据分析报告
通过较长时间对AMC12历年试卷所有真题进行分析,使用出题对应的知识点作为根结构,将所有真题分类整理进入数据库以后,再运用数据分析的手段形成的报告如下:

可以明显地看到,AMC 12在Precalculus方面出题力度较大,三角函数、不等式、对数都进入了TOP 6知识点排行榜。
排在第一名的仍然是几何图形的面积,不过比AMC 8和AMC 10难度增加了很多,87道面积题中有17道出现在了最后5道难题中。AMC 12的几何图形面积题与三角函数、解析几何、无穷数列、复数、不等式等知识点结合得比较紧密,究其原因在以前发布的数据分析报告中有过详细说明,感兴趣的读者可以阅读过去的文章,本文不再赘述。
排在第二名的概率题共有71道真题,其中23道出现在了最后5道难题中。AMC 12的概率题与排列组合、数论、几何面积、不等式、复数空间、无穷级数等内容掺杂在一起出题比较常见,难度较大。
排在第三名的方程应用题共有62道,其中7道出现在了最后5道难题中,通过设未知数建立方程解题是非常有效的数学方法,在许多问题的解题过程中都可以看到方程应用的影子,在欧几里得和COMC的数据分析报告中已经有过详细的论述,本文此处略过。
下面我们来重点分析一下AMC12新增的三大常考知识点:三角函数、不等式和对数。
三、压轴章节-Trigonometry
三角函数(Trigonometry)作为中学数学的压轴部分,一般放在PRECALCULUS11-12的最后阶段进行学习,需要理解记忆的公式很多,而三角函数是微积分研究最重要的函数之一,其重要性不言而喻,进入AMC 12 TOP 6知识点排行榜是理所当然的。
根据数据统计,AMC 12中共出现了30道三角函数相关的真题,平均下来每年1.5道。
通过将真题范围限定在最后5道难题中,我们发现有16道分布在21-25道题之间,清单罗列如下:
2003 AMC 12B的第23题;
2004 AMC 12B的第24题;
2005 AMC 12B的第24题;
2006 AMC 12B的第24题;
2008 AMC 12B的第25题;
2009 AMC 12B的第24题;
2012 AMC 12B的第25题;
2014 AMC 12B的第25题;
2015 AMC 12B的第25题;
2004 AMC 12A的第21题;
2007 AMC 12A的第24题;
2008 AMC 12A的第24题;
2008 AMC 12A的第22题;
2010 AMC 12A的第24题;
2019 AMC 12A的第25题;
2018 AMC 12A的第23题;
......
三角函数的繁杂性决定了可以出难题的空间非常大,看来MAA(美国数学协会)是认准了这一点。
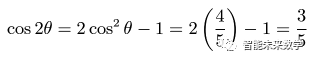
下面以2004 AMC 12A的第21题为例看看AMC 12里面的三角函数题长啥样吧:

这是一道三角函数与无穷等比级数结合的题目,看着比较吓人,其实考生只要将等比数列的求和公式与三角函数的倍角公式结合起来考虑可以轻松得解:
根据无穷等比级数的求和公式,
左边求和=

化简一下可以得到:

再利用三角函数2倍角公式:

答案选D。
四、范围搜索利器-Inequality
不等式(Inequality)是AMC10以后新学的内容,是数据筛选及数据范围搜索方面强有力的工具,在寻找最大值、最小值等最优化问题方面用处极大,尤其是在计算机算法设计方面,如果对于不等式相关原理非常熟悉,往往能够获得高效简单的快速算法。
因此不等式作为考察重点,在AMC12中占据第5名的位置顺理成章。
38套题37道不等式方面的题目,平均下来每套题一道不等式。
将分析限定在最后5道难题,我们发现11道不等式方面的题落在了该范围之内,清单罗列如下:
2006 AMC 12B的第24题;
2010 AMC 12B的第24题;
2011 AMC 12B的第23题;
2015 AMC 12B的第23题;
2003 AMC 12A的第25题;
2011 AMC 12A的第23题;
2014 AMC 12A的第25题;
2019 AMC 12B的第25题;
2016 AMC 12A的第24题;
2002 AMC 12B的第25题;
2002 AMC 12B的第24题;
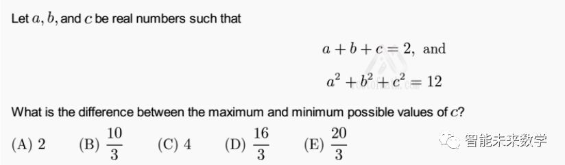
下面以2013 AMC 12B的第17题为例:

题目原文翻译如下:
满足如图中的c的最大值和最小值的差是多少?
对于熟悉不等式性质和二次方程的同学来说,这道题基本上是送分题。
只需要利用:a+b+c=2
得到:

再利用柯西-施瓦茨不等式,可以得到:

化简以后可以得到:


通过二次方程的根很容易解出此不等式:-2<=c<=10/3.
因此答案是:10/3-(-2)=16/3.
选D.
五、化乘除为加减-Logarithm
以前一直感叹对数题(Logarithm)在北美数学竞赛中见得太少,在滑铁卢系列和COMC系列所有竞赛中,所有的对数题全部加起来,也只有区区22道。
对数的神奇在于化乘除为加减,能够将指数形式的乘除运算迅速化解为简单的加减运算,从而大大减低问题的难度和复杂度而快速得解。
在微积分中,对数函数因其导数的特殊性成为解决其他复杂问题的一个快速绿色通道;而在计算机人工智能等算法设计过程中,很多人更是对对数函数青睐有加。
所以我一直为对数函数抱不平,如此重要一个角色,怎么能被各大竞赛所忽视了呢?
这次对数函数终于在AMC12中找到了平衡,到达了排行榜第四名的位置,一共出现了45次,平均每年2.25道题。
将分析限定在最后5道难题,我们发现16道对数相关的题落在了该范围之内,清单罗列如下:
2005 AMC 12B的第23题;
2008 AMC 12B的第23题;
2013 AMC 12B的第22题;
2016 AMC 12B的第25题;
2000 AMC 12的第23题;
2003 AMC 12A的第24题;
2005 AMC 12A的第23题;
2005 AMC 12A的第21题;
2006 AMC 12A的第21题;
2007 AMC 12A的第23题;
2009 AMC 12A的第24题;
2010 AMC 12A的第24题;
2013 AMC 12A的第21题;
2014 AMC 12A的第21题;
2019 AMC 12A的第23题;
2002 AMC 12B的第22题;
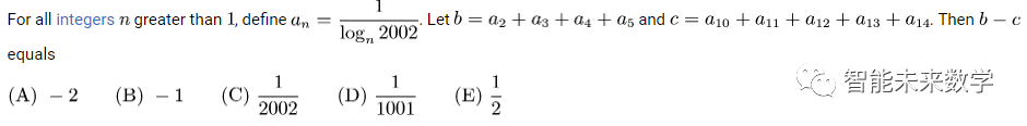
下面我们以2002 AMC 12B第22题为例来说明AMC 12如何考察对数函数:

此题是一个对数数列,而下标n是对数的底数,很自然想到通过对数换底公式将n换成真数:

然后简单地把b和c的值代入做运算:

加减法变成了乘除法,经过简单运算可以得到:

答案选B。
六、总结
通过本文的分析,相信大家对于AMC 12有了一个基本的了解。
鉴于AMC 12对于PRECALCULUS预备微积分中的三角函数、不等式、对数、复数等内容考察比较多,建议想要参加AMC 12的考生能够提前学习这部分的内容。
按照一般学校的教学计划,这些内容都会在11-12年级进行学习。如果按照学校教学计划走,在12年级下学期才有可能去参加AMC 12,在此阶段即便取得好的AMC 12的成绩,可能对于大学申请的帮助也不会太大了;而且12年级的时候同学们的学习任务都比较重,同时准备AMC12,估计时间和精力上都会不够。
因此我们建议想要参加AMC12的同学最好在10年级的时候就开始准备,通过完成PRECALCULUS预备微积分相关内容的学习,在10年级或11年级取得AMC 12的好成绩是比较完美的方案。
2020年AMC 12A的考试时间为2020年1月30日,AMC 12B的考试时间为2020年2月5日。
希望有意参加AMC12的同学们早做计划和准备,预祝大家考试成功!
往期数据分析报告原创文章链接:
Leave your comment