一、欧几里得数学竞赛简介
欧几里得数学竞赛(Euclid,本文简称“欧几里得”)由滑铁卢大学数学学院的数学与计算教育中心(CEMC)组织,主要针对12年级的学生,低年级学生如果感兴趣,也鼓励参加。在该项竞赛中取得前25%的学生将获得证书。2018年有22,695名选手参加了这一数学竞赛,参赛人数地区分布如下:

这场考试由于其考察标准的严格性和专业性,代表了滑铁卢数学竞赛的最高水准,是加拿大和美国名校评估国际学生数学水平、入学资格及奖学金发放的重要依据。(尤其对于有意申请滑铁卢大学的学生来说,Euclid竞赛的成绩比AMC竞赛的成绩更具说服力。)
Euclid数学竞赛一般都是在每年4月举行。2019年的竞赛将于4月3日进行。Euclid竞赛有10道题目,要求在2.5小时内完成。满分是100分。有些题目只要求最后答案,大部分题目要求写出解题过程。
青睐于在滑铁卢大学数学竞赛中获得优异成绩学生的大学专业包括:
| Actuarial Science | 精算学 |
| Applied Mathematics | 应用数学 |
| Bio-informatics | 生物信息学 |
| BBA/ BMath Double Degree | 商业管理和数学双学位 |
| Business Administration | 商业管理 |
| Chartered Accountancy | 会计 |
| Combinatorics and Optimization | 组合和优化科学 |
| Computational Mathematics | 计算数学 |
| Computer Science | 计算机科学 |
| Mathematics/Business Administration | 数学/商业管理 |
| Mathematical Sciences | 数学科学 |
| Math/ Financial Analysis & Risk Management | 数学/金融分析和风险管理 |
| Mathematical Physics | 数学物理学 |
| Operations Research | 运营研究 |
| Pure Mathematics | 纯数学 |
| Software Engineering | 软件工程 |
| Statistics | 统计学 |
二、历年真题数据分析报告
为了帮助更多的同学应考欧几里得,获得申请美国和加拿大名校入学资格及奖学金,我们对欧几里得历年真题进行了分析,整理出来这份数据分析报告:

欧几里得的题目都是大题,每道大题包含2到3道小题。
试卷的总体结构是:前面2道送分题;中间6道基础题,稍有一些难度,基础好的同学都可以解出;最后2道是难题,需要很长的解答过程,其档次和难度与前8题非常明显,能否搞定后面两道题是竞赛能否胜出的关键,对数学知识背景和思维深度都有较高的要求。
下面以排在前面的几何面积、方程应用、解析几何(直线方程和抛物线)、三角函数为例说明历年真题的出题趋势。
1.几何面积是考察重点
从2000年开始,欧几里得的题目比较倾向于考察几何(包含平面几何与解析几何),占比约35%。在21年的考题中,立体几何考的概率极小,仅在2017年出现过立体几何的题目。
一般来说几何题基本是要你计算面积或边长,或者证明面积分割或边长的比例关系或大小关系。
处理这类题目一般常用的技巧就是利用相似三角形或者勾股定理构建等量关系求解,勾股定理应用这一知识点排在第二名的位置。
如果数量关系不好构建的话,可以试试建立平面直角坐标系,使用解析几何的方法解决。
欧几里得的很多几何面积题,只要深刻理解几何图形的面积公式的推导过程并能够灵活应用,往往能够另辟蹊径,找到非常巧妙的解答方法。
例如欧几里得2013年的第9题,属于一道重点难题:

题目翻译中文:
(a)正方形WXYZ边长为6,正方形EFGH边长为10,求证:梯形EFXW和梯形GHZY的面积之和与位置无关;
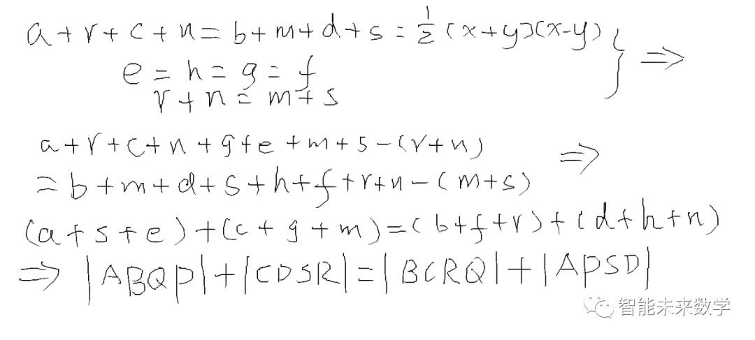
(b)任意的小正方形PQRS放在大正方形ABCD中,将两个正方形中间的面积分成四部分。如果两个正方形的边长不平行,求证APSD与BCRQ的面积之和与ABQP与CDSR的面积之和相等;
此题乍一看绝对是一道难度很大的几何题,就连滑铁卢官方给出的解答也超过两页纸。
说实话,官方的解答有些啰嗦,因为如果能够看明白图中各个几何图形之间面积的关系,稍微做一些变换,不难给出证明。
先看(a):
直接根据梯形面积公式,合并一下即马上得到答案:

再来看(b):
我们会想到利用(a)中的结论,容易构思出(a)中需要用到的正方形WXYZ:

容易证明图中4个蓝色三角形是全等的。
如果假定大正方形和小正方的边长分别为x和y的话,利用三角形的面积公式,也很容易看出r+n=s+m=|QX|(x-y)/2;
而由(a)的结论,我们有:

证明完毕。
感兴趣的同学可以对比一下滑铁卢官方给出的解答:


2.用方程来解决实际问题的能力很重要
设未知数,根据题目提供信息构建等量关系方程,进而找到问题的答案,是我们获得的最有用数学工具之一。这一能力的考察在欧几里得中得到了充分的展现。
很多看起来难度很高的数学题,只要我们通过未知数找出数量关系,都可以找到突破口迎刃而解。
在实际解题过程中,大家不要害怕未知数过多,因为大多数时候,我们关心的是局部未知数或者未知数整包之间的关系,不需要知道单个的未知数是多少。
这一思想在前面的面积题中大家应该已经看到了。
我们再来看看2001年欧几里得的第9题,这也是一道重点难题:

题目翻译成中文为:直角三角形ABC和直径三角形PQR的边长都为整数,三条边对于平行并且距离都是2,三角形ABC的面积为三角形PQR面积的9倍。请问有多少个这样的三角形ABC?
此题如果不使用未知数构建方程来解答,几乎是不太可能的,因为题目要求的答案太广泛。有经验的同学一看这种题的提问很自然就会想到构建一个不定方程,通过“边长为整数”这一有利条件筛出答案。
这道题有两个信息可用:
A.三边对应距离为2且面积比为9:1
要使用这一条件,很自然想到可以利用面积等量关系构建一个方程,将大三角形ABC划分成3个梯形和一个小三角形PQR,大三角形ABC的面积正好等于三个梯形与小三角形PQR的面积之和。
而数字2正好是三个梯形的高。
利用相似三角形的性质,面积之比为9:1,边长之比则为3:1。
如果假定大三角形ABC的边长为a,b,c,小三角形PQR的边长则为a/3,b/3,c/3,如图:

利用面积公式,很容易得到第一个等量关系方程:

上述方程化简后为:
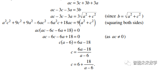
ac=3c+3b+3a
别忘了我们还有一条信息没有用:
B.三角形ABC为直角三角形
这正是勾股定理的用武之地:
b^2=a^2+c^2
也就是说b可以用a和c来替换掉,完成这一替换,我们最后得到:

到这里需要用一点数论知识了,如果要让c为整数,a-6只能为18的因数,根据这一条件很容易做出下表:

因此本题的答案为(7,24,25),(8,15,17),(9,12,15).
3.解析几何题目比重很大
欧几里得与其他滑铁卢数学竞赛系列对比,一个比较明显的特点就是欧几里得注重解析几何的考察,这应该是为了做好与微积分学习的衔接,因为解析几何的知识点是微积分必备的预备知识。
直线方程基本上每年都会考,不过题目都比较简单,有一些送分题,以斜率、直线上点的坐标、点与点距离、面积等考察得最多。
一元二次方程和抛物线是考察重点,平均每套试卷里面有2-3道类似的题。考察点包括韦达定理、曲线交点、求根公式、面积、最大值和最小值、顶点坐标等,题目都不难,只要对曲线方程的一些性质比较熟悉,都可以快速写出完整答案。
下面以2007年第9题为例说明这一类型的题目考察知识点的直接性,此题在当年也是以重点难题出现:

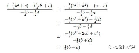
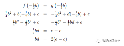
题目翻译成中文为:抛物线y=f(x)=x^2+bx+c和y=g(x)=-x^2+dx+e的顶点分别为P和Q,这两天抛物线的交点也是P和Q,求证:
(a)2(e-c)=bd;
(b)经过P和Q的直线方程的斜率为(b+d)/2并且与y轴的交点是(c+e)/2;
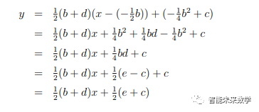
先看(a),根据抛物线的顶点公式,f(x)顶点的横坐标是x=-b/2,而f(x)和g(x)都经过P点,按照题意构建一个等量关系再化简一下就可以解出:

(b)更简单,直接根据抛物线顶点公式,可以得到f(x)的顶点P的横坐标为-b/2,纵坐标为:

g(x)的顶点Q的横坐标为d/2,纵坐标为:

套用直线斜率公式,马上得到:

利用斜率和直线上的一点P,立即得到直线方程:

因此直线的纵坐标为(e+c)/2。
都是解析几何基础知识。
4.三角函数出题的频率很高
统计欧几里得21年的所有真题后,我们发现除了2015年只是简单地通过余弦定理考察了一下三角函数以外,其他年份三角函数是每年必考,有的年份还有2-3道,例如2018年有2道,2016年有3道......足见三角函数在欧几里得中的重要地位,这也是微积分的重要预备知识。
根据加拿大数学教学大纲,三角函数是12年级的教学内容,因此如果想在11年级或更早参加欧几里得竞赛的话,需要提前学习相关内容。
三角函数因为牵涉到和差角公式、和差化积公式、积化和差公式、倍角公式、半角公式、万能公式、正弦定理、余弦定理等诸多内容,可以出题的点很多。同学们无需死记硬背公式,只要深入理解各个公式的基本意义,考试时忘了仍然可以推导出来。
只要理解了三角函数公式的推导过程,欧几里得基本就没有三角函数的大难题了,以2017年第6题为例:

题目翻译成中文就是:
(a)如图两个山脚在0点相交,夹角分别为30度和45度,OA=OB=20m,AC和BD为垂直地面的杠,CD为连接AC和BD的电缆,如果AC=6m,BD为多高时CD最短?
(b)如果 cosθ=tanθ,请确定所有的sinθ,用准确的简化数表示;
先看(a),补充一下辅助线,做出下图:

点C和直线BD之间垂线段CX最短,CX=PQ,因此BD=BX时CD最短。此时:
PC=PA+AC=20*sin30°+6=16(m)
BQ=BO*sin45°=10√ 2 m
BD=PC-BQ=(16-10√ 2)(m)。
再看(b),只要利用正弦和余弦的平方关系,很容易转化为一个一元二次方程:

利用二次方程的求根公式,并根据 -1<=sinθ<=1,立即得到:

三、总结
通过历年真题的数据分析,我们发现欧几里得数学竞赛堪称对中小学数学知识掌握水平的一次大检阅。对平面几何、解析几何、数论、排列组合、概率、代数等领域都做了深入考察,尤其是直线、圆锥曲线、三角函数、多元方程组、多项式、指数函数、对数函数、幂函数等微积分预备知识。
更为重要的是,欧几里得大部分题目要求参赛者写出完整的解答过程,这对于大部分习惯了做多项选择题的北美学生来说,绝对是一个高难度的挑战。
在加拿大教学实践中我们发现,很多11年级的学生仍然很难写出完整的解答过程,这应该与学校数学教育平时要求少有很大的关系。多数同学因为平时练得少,基础不牢,一些常规的数学知识点到用的时候没办法激活,一旦进入微积分学习就会觉得困难重重,鸭梨山大。
因此我们建议,对于那些大学专业绕不过微积分的学子们来说,在11-12年级参加欧几里得数学竞赛是很有必要的,最后两道难题可以做不出来,前面八道题是对微积分预备知识理解深度检阅的一次好机会,这份经验将很好地帮助你过渡到微积分学习。
往期相关数据分析原创文章链接:
AMC美国数学竞赛10年级历年真题数据分析报告兼谈数学与职业的结合
滑铁卢高斯数学竞赛(7&8年级)历年真题数据分析报告兼谈对加拿大数学教育的思考
Leave your comment